Business Partners
![]() |
![]() |
||
![]() |
![]() |
![]() |
|
![]() |
![]() |
![]() |
![]() |
1. Syndrome-decoding of multiprocessor systems
The task is to analyze the reports of the processors testing each other, where measured results are given which are called syndromes. We get the sets of most probably live or rather idle processors as result. Application: Software which analyzes a system with torus-topology processor.


The nature of the network is represented by the figure below, where syndromes, diagnosis and reasoning rules will be the input, the output and the elements of the network.

2. Designing of safety systems
When designing safety systems the task is to design cost optimal system, where sensors, actuators, reliability- and system requirements are given. As a result we get the most reliable system with given and fixed cost, or the cheapest one by given reliability values.

As the network interpretation of the task we have measured signals on the input, we define actuator signals on the output, and the elements of the network will be sensors, actuators and signal processing tools.

3. Optimizing freight organization
In the course of optimizing freight organization the goal is to determine the path and the load balance of the transporting vehicles, where the transporting task, maps and the available fleet is given. As a result we get optimal freight plans considering the entire fleet. For such tasks a practical example is to deliver daily paper for four shire. If the packets to be transported, the packets are delivered and the transport itself with up- and downloading activities are considered as input, output and the elements of the network, then the entire task can be defined as a network problem.

– 9.3% reduction in the total mileage
– 7.7% reduction in the total cost
– 6.7% reduction in the CO2 emission (approx. -42 t/yr)

4. Vehicle maintenance schedule
Considering vehicle maintenance scheduling the task is to determine the maintenance times of each vehicles by given timetables, states, and reliabilities of them. Considering the vehicles and the freights as input and output, we are up against a network problem of which has the round fulfill and maintenance as elements. As a result we get the optimized schedule of the fleet’s maintenance. Application: scheduling daily maintenance because of unexpected failure of public buses.

5. Resource assignment
Resource assignment tasks define the method how to assign given tasks to given resources such way that executing these jobs has to be optimized under time, cost, etc. The tasks’ scheduling and resource requirements, as well as the availability and costs of resources are well known. As a result we get the optimal task-resource assignment.

Application: scheduling of subcontractor in building industry investment. If resources, tasks and realizing the tasks are considered as input, output and network elements, then the entire issue is a network problem.

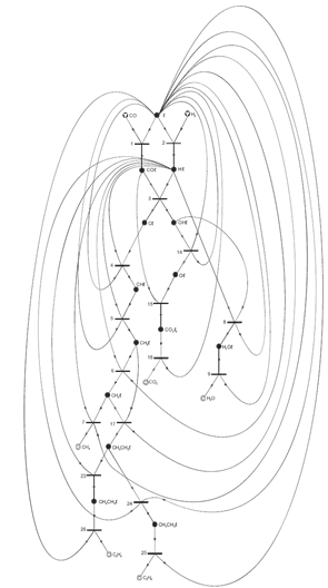
6. Synthesis of reaction-mechanisms
Synthesys of reaction-mechanisms means that the goal is to realize chemical reactions’ possible reactions as a synthesis problem. Elemental and resultant reactions are given, and the network aspect comes from the input, output and network elements are respectively initial materials, products and elemental reaction-steps.


Application: Fischer-Tropsch synthesis:
11 CO + 19 H2=CH4 + 7 H2O + 2 CO2 + 2 C2H6 + 2 C2H4

7. Synthesis of metabolic networks


8. Optimization of interbank transactions

9. Synthesis of business processes
Synthesis of business processes has a special purpose to reach a desired, optimized business goal by known preconditions and effects of actions. As a result we get the best and the n-best different processes considering a sort of parameter.
Application: Loadability examination of reservation processes in a travel company.












